Skip to content
  • +91 87932 47779
  • Email Us
Phone
Online Support

+91 87932 47779

Logo
Email
  • Email Us At
    • vgyanhubpune@gmail.com
    • vgyanhubdhule@gmail.com
Menu
  • Email Us At
    • vgyanhubpune@gmail.com
    • vgyanhubdhule@gmail.com
vgyanhub logo
Free Tests
Menu
  • Home
  • About Us
  • Courses
  • Knowledge Base
  • Events
  • Testimonials
  • Contact Us
  • Home
  • About Us
  • Courses
  • Knowledge Base
  • Events
  • Testimonials
  • Contact Us
Menu
  • Home
  • About Us
  • Courses
  • Knowledge Base
  • Events
  • Testimonials
  • Contact Us
Try Out Our Free Tests

Question:

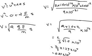
An electron is released from the bottom plate A as shown in the figure (E = 10⁴ N/C). The velocity of the electron when it reaches plate B will be nearly equal to

Options :

  • a) 0.85 x 10⁷ m/s
  • b) 1.0 x 10⁷ m/s
  • c) 1.25 x 10⁷ m/s
  • d) 1.65 x 10⁷ m/s

Answer :

a) 0.85 x 10⁷ m/s

Answer Steps :

Solution :-

Video Tutorial

Related Questions

Four particles each of mass m are placed at the corners of a square of side length l. The radius of gyration of the system about an axis perpendicular to the square and passing through its centre is [EAMCET (Med.) 2000]

Read More »

Rolling Motion

Read More »

Law of conservation of angular momentum

Read More »
« Previous Next »
Explore Our Courses
  • MHT-CET Mock Test (PCMB) | Pack of 10 Tests
  • NEET Mock Test (PCB) | Pack of 10 Test​
  • JEE Mock Test (PCM) | Pack of 10 Test
  • Physics | NEET | Full Course
  • 11th Physics | Maharashtra Board | Full Course
  • Physics | JEE Main | Full Course
  • Physics | 12th + MHT-CET | Maharashtra Board
  • 12th Physics | Maharashtra State Board | Full Course
  • 12th Maharashtra State Board | Prepare Physics in 3 Days
  • MHT-CET Physics Crash Course Marathon Batch 2023-24
  • JEE Main Crash Course Brahmastra Batch
  • Physics NEET Crash Course 2023-24
vgyanlogo
Access To All Courses from VgyanHub

Popular Courses

  • 12th Physics | Maharashtra State Board | Full Course
  • Physics | JEE Main | Full Course
  • Physics | NEET | Full Course

Company

  • Home
  • About Us
  • Courses
  • Testimonials
  • Knowledge Base

Need Some Help?

  • Contact Us

© Copyright 2024 VgyanHub & Designed by PanGrow Tech Pvt. Ltd.